E-ISSN 2218-6050 | ISSN 2226-4485
 

Research Article


Open Veterinary Journal, (2024), Vol. 14(7): 1585–1595

Research Article

10.5455/OVJ.2024.v14.i7.8

Advantages of Curcuma longa in preventing male infertility caused by thioacetamide

Fatima A. Jaber, Fatima S. Alaryani*, Boudor S. Almutiri, Suzan B. Abdu and Arif Mohammed

Department of Biological Sciences, College of Science, University of Jeddah, Jeddah, Saudi Arabia

*Corresponding Author: Fatima S. Alaryani. Department of Biological Sciences, College of Science, University of Jeddah, Jeddah, Saudi Arabia. Email: fsalaryani [at] uj.edu.sa

Submitted: 12/04/2024 Accepted: 04/06/2024 Published: 31/07/2024


Abstract

Background: Thioacetamide (TAA) is known to cause damage to various organs, including the testes, posing a significant health threat. On the other hand, Curcuma longa (Cl) has been recognized for its antioxidant properties, suggesting a potential protective role against TAA-induced toxicity in the testes.

Aim: This study aims to investigate the effect of TAA on testicular function and structure while exploring the therapeutic and protective potential of C. longa versus TAA toxicity.

Methods: Thirty-two male albino rats, with an age range of 11–12 weeks and a weight range of 180–200 g, were randomly allocated into four distinct groups. The control group received normal saline, while the Cl group ingested Cl orally at a dose of 500 mg/kg daily. The TAA group, received TAA through intraperitoneal injections at a dose of 200 mg/kg body weight three times per week. Lastly, the Cl with TAA group received Cl orally 2 hours before the TAA injections. After 8 weeks of treatment, we anesthetized the rats and saved blood samples for biochemical analysis.

Results: The study revealed significant alterations in various biochemical parameters in the TAA-treated group, as compared with the control. Specifically, there was a significant increase in bilirubin, albumin, cholesterol, triglyceride, very low-density lipoprotein, white blood cells, low-density lipoprotein cholesterol, and platelets levels. Conversely, the Cl-treated group exhibited significant reductions in these parameters, along with notable increases in red blood cells, high-density lipoprotein cholesterol, and hemoglobin.

Conclusion: C. longa demonstrates a protective effect on the testes against TAA-induced toxicity, potentially attributed to its antioxidant properties. This suggests a promising avenue for the use of Cl in mitigating the harmful effects of TAA on testicular function and structure.

Keywords: Curcuma longa, Thioacetamide, Testicular toxicity.


Introduction

Infertility is a worldwide issue; however, there is a shortage of evidence regarding its prevalence and underlying causes in Saudi Arabia (Rahman et al., 2005). Prompt action is needed to address this before it becomes a major public health issue. Thioacetamide (TAA), commonly used as a substitute for hydrogen sulfide, has been linked to testicular damage (Kang et al., 2006). Studies show reduced antioxidant enzyme activities in TAA-exposed rats, which may impact spermatogenic cells or their supportive Sertoli cells (Cheng, 2015).

Curcuma longa (Cl), known as turmeric, is a perennial plant found in tropical regions like India, China, and Nigeria. Its vibrant yellow color comes from curcumin, a key component (Wasef et al., 2020; Abd El-Hack et al., 2024). It offers numerous health benefits, including anti-inflammatory, antioxidant, anti-carcinogenic, and hepatoprotective properties (Alagawany et al., 2017; Abou-Kassem et al., 2020). Additionally, it has been studied for its potential in managing diabetes, lowering lipids and obesity, and modulating the immune system (Li and Liu, 2005; Memarzia et al., 2021). Research has shown that aqueous C. longa extract benefits testicular tissue and sperm quality, along with increasing serum testosterone levels and decreasing Malondialdehyde levels (Kehinde et al., 2021).

Curcumin, present in Cl, shows promise as a treatment for neurological disorders like Parkinson's, multiple sclerosis, dementia, and Alzheimer's disease due to its anti-inflammatory, antioxidant, and anti-protein aggregating properties (Soomro et al., 2019; Seidavi et al., 2021). Albumin, produced by the liver, is crucial for maintaining fluid balance in the bloodstream and acts as a carrier for hormones, vitamins, and enzymes (Belinskaia et al., 2021). In the rat testis, it plays a key role as the main transporter of testosterone in plasma and interstitial fluid (Ramli et al., 2019). Additionally, albumin has a role in the transportation of molecules during the maturation of the epididymis, the facilitation of protein mobility during the acrosomal response, and the assistance in membrane remodeling during the union of sperm and oocytes (Hernández-Silva and Chirinos, 2019).

Regarding bilirubin and sperm quality, research indicates an inverse association between serum total bilirubin levels and sperm motility and normal morphology (Chen and Chen, 2022). Additionally, elevated bilirubin is linked to abnormalities in sperm morphology, crucial for reproductive competence (Agarwal et al., 2012). Recent findings by (Chen and Chen, 2022) suggest a link between high serum bilirubin levels and poor sperm quality, urging further investigation into bilirubin's impact on sperm quality via the blood-testis barrier (BTB). The BTB, regulated by Sertoli cells, shields germ cells from bloodstream toxins (Setchell, 2009), with its dysfunction implicated in chemical-induced reproductive harm and potential infertility (Cheng and Mruk, 2012). The BTB isolates germ cells in the seminiferous tubule's abluminal compartment, shielding them from the bloodstream and lymphatic system, which is essential for meiosis completion (Li et al., 2012).

Immunocytology, the gold standard for identifying white blood cell (WBC) populations in semen, reveals granulocytes, macrophages, and T-lymphocytes as prevalent types. Leukocytospermia (>106 WBC/ml semen) is observed in 10%–20% of male infertility cases. While some studies show no sperm damage with leukocytospermia, others suggest a significant role of WBCs in male infertility. Infertility patients exhibit elevated seminal WBC counts compared to fertile males, while leukocytospermia is linked to decreased sperm count and impaired motility (Sharma et al., 2022).

Research suggests a link between a high-fat diet, obesity, and male infertility, with elevated plasma triglycerides and cholesterol levels associated with reduced semen quality and infertility (Saez Lancellotti et al., 2010). It is possible that this detrimental impact on testicular function could result in diminished semen quality and male infertility (Sharma et al., 2021).

This study aimed to examine the influence of C. longa on the structure and blood hematology, lipid profile, and testicular changes against TAA-induced toxicity. Specifically, the study aimed to evaluate changes in biochemical parameters indicative of testicular health, such as bilirubin, albumin, very low-density lipoprotein (VLDL-C), triglyceride, low-density lipoprotein cholesterol (LDL-C), cholesterol, WBCs, platelet (PLT), high-density lipoprotein cholesterol (HDL-C), red blood cells (RBCs), and hemoglobin (HB).


Material and Methods

Animals

The experimental model consisted of 32 mature, healthy male albino rats (Wistar) weighing between 180 and 200 g and aged 3–4 weeks old. We obtained the rats for this study from the Experimental Animal Unit at King Fahd Medical Research Centre, King Abdulaziz University, Jeddah, Saudi Arabia. Figure 1 illustrates the experimental design, which involved dividing the rats into four groups for subsequent studies. The rats were subjected to controlled circumstances throughout the trial, including a consistent temperature of 25°C ± 2°C, a humidity level between 50% and 60%, together with a 12-hour cycle of light and dark. The participants had unrestricted access to a conventional diet and water. Four groups of eight rats each received the corresponding therapies for 8 weeks.

Fig. 1. Diagram of experimental setup.

Chemicals

The TAA compound was procured from Sigma Aldrich Corporation, St. Louis, MO, USA (Lot#. BCCB7885). The substance was dissolved in distilled water at a concentration of 16.3 g/ 100 ml. The C. longa, a pure powdered product (code: 091030), was acquired from the nearby market in its fresh, natural state. The Cl powder underwent a thorough cleaning process and was subsequently ground using black pepper. It was then securely stored in a tightly sealed container to mitigate any potential exposure to external factors. It was kept in a refrigerator, with this process repeated weekly to maintain freshness. The Cl powder was administered orally to the rats as per the experimental protocol.

Experimental design

Thirty-two male albino rats (Wistar) with body weighing between 180 and 200 g were randomly allocated into four equal groups. The control group received a normal saline solution orally. In the Cl group, rats were administered the Cl orally at a dosage of 500 mg/kg per day, following previous studies (Asher and Spelman, 2013; Abdou et al., 2015). Rats in the TAA group (n=8 rats) were subjected to intraperitoneal administration of (TAA) at a dosage of 200 mg/kg body weight three times per week, following established protocols (Casas-Grajales et al., 2017). Lastly, in the Cl with TAA group, rats received Cl orally on a daily basis, administered 2 hours before the thrice-weekly TAA injections.

Biochemical analysis

The serum levels of LDL, HDL, TG, VLDL, and cholesterol were evaluated using an Enzyme-linked Immunosorbent Assay (ELISA) kit. The measurements were conducted using the QuickDetect™ total lipid profile ELISA kit, which employs a sandwich ELISA assay specifically designed for rat plasma (Cat No. MBS846775).

Assay procedure for triglycerides (TG)

To prepare the microtiter plate, it is recommended to add duplicates of all standards and samples. Begin by adding 100 ul of standards to their respective wells, gently shaking each standard bottle by hand, and pipetting the solution up and down three times before adding. For the blank control well, add 100 ul of PBS (pH 7.0–7.2). Subsequently, the microtiter plate should be washed using either of two approaches: manually extracting the contents into a sink or waste container and filling each well with a (1×) wash solution five times, followed by blotting dry with paper towels or employing an auto washer to wash the plate five times with a diluted wash solution (350–400 ul/well/wash), ensuring adequate drying between washes. Place 50 ml of substrate A and 50 ml of substrate B into each well, along with the blank control. Allow the mixture to incubate for a duration of 15–20 minutes at a temperature of 37°C while ensuring protection from sunlight. Subsequently, introduce 50 ml of stop solution into each well, encompassing the blank control, and ensure complete mixing. Utilize a microplate reader to promptly ascertain the optical density (OD) at a wavelength of 450 nm.

Assay procedure for cholesterol

To conduct the cholesterol assay procedure, ensure all reagents and samples are brought to room temperature at least 30 minutes beforehand. It is advised to run standards and samples in duplicate, with a standard curve required for each assay. Here is a detailed guide to the procedure:

First, prepare the reagents by spinning tubes to settle components at the bottom, and dilute the concentrated washing buffer (30X) with dH2O to create the wash buffer. For standard preparation, set 10 wells in a microplate strip and add 50 μl of standard dilution buffer to each. Then, distribute the standard solution accordingly to achieve concentrations ranging from 8 nmol/ml to 0.5 nmol/ml. Proper sample preparation is crucial, with serum samples requiring clotting at room temperature followed by centrifugation to remove clots. It is essential to store samples at −20°C to avoid degradation.

Then, combine 40 μl of sample dilution buffer with 10 μl of the sample in the sample wells, with a dilution factor of 5. For the blank control, leave one well empty and load the samples into the bottom without touching the well walls. Thoroughly combine the ingredients with gentle agitation. Subsequently, introduce 100 μl of HRP-conjugate reagent into each well, except the blank control. Proceed to shut the plate using a closure plate membrane and hold it incubated at 37°C for 60 minutes.

After completing the incubation period, it is necessary to remove the plate sealer, extract the contents using aspiration, and after replenish each well with wash solution. To achieve comprehensive cleaning, repeat the washing technique five times. Prepare each well by adding 50 μl of chromogen solution A and 50 μl of chromogen solution B, stirring gently, and then incubating at 37°C for 15 minutes in the absence of light. Following the incubation period, introduce 50 μl of stop solution into each well to halt the reaction, as evidenced by the transition of color from blue to yellow. After adding the stop solution, measure the absorbance OD at 450 nm within 15 minutes. Set the OD value of the blank control well to zero. Following these steps meticulously ensures accurate and reliable results in the cholesterol assay procedure.

Hematological parameters

Assay procedure for whole blood

To conduct the assay procedure for whole blood, follow these steps diligently. Start by running the Beckman Coulter LATRON primer and latex control, including the normal (blue) and abnormal I (yellow) levels. It is crucial to perform duplicate runs for all samples to ensure accurate results. Identify each sample by presenting its bar code label to the reader and setting it to the SECONDARY mode, deactivating the blood detectors accordingly. Confirm sample identification by scanning the bar code label; a green light indicates successful scanning, while a red light prompts a rescan. Cycle the sample in the SECONDARY mode after gently mixing it. Carefully immerse the aspirator tip in the sample, keeping an eye on the aperture-viewing screens for debris during the COUNT period. Initiate start-up procedures, conduct daily quality control checks, and ensure all reagent pickup tubes are submerged in distilled water with securely capped containers. Confirm the availability of necessary supplies and unwrap and place reagent pickup tubes in their designated containers. Use Isoton III for calibration and carryover checks. Finally, determine the RBCs, total and differential leukocyte count (WBCs), platelet count (PLT), and (HB) concentration using a CBC analyzer (Beckman Coulter MAXM) hematology Analyzer.

Immunohistochemical examination (IHC)

To perform Ki-67 immunostaining, supplementary serial slices of 5-μm paraffin tissue were excised and after subjected to dewaxing and rehydration using xylene and distilled water. We used a microwave oven to perform the antigen retrieval process. We used a 3% hydrogen peroxide solution for 30 minutes. At room temperature to suppress the body's peroxidase activity in the sections. Next, we blocked the sections with 5% bovine serum for 15 minutes. Following this, the sections were subjected to overnight incubation at a temperature of 4°C in a controlled and humidified environment, utilizing primary antibodies targeting Ki-67. We washed the sections with phosphate buffer (PB), treated them with a secondary antibody, and stained them with 3,3'-diaminobenzidine after rinsing with PB. The slices underwent counterstaining with hematoxylin, followed by a subsequent washing step using tap water. A microscopic examination was conducted on the immunohistochemistry (IHC) micrographs.

Statistical analysis

A one-way analysis of variance (ANOVA) was employed for statistical analysis, with all computations and analyses carried out using the SPSS software. The data were reported in terms of means ± standard error (means ± SE) and assessed at a significance level of p < 0.05.

Ethical approval

The Animal Care and Use Committee of King Abdulaziz University set and supervised ethical criteria for the experimental treatments.


Results

Levels of bilirubin and albumin

Table 1 presents the mean values of albumin and bilirubin across the study groups. In Group 1 (G1), which served as the control group receiving normal saline, the mean albumin level was 4.20 g/dl, and the mean bilirubin level was 4.00 mg/dl. Group 2 (G2), administered C. longa alone, showed slightly lower mean values for both albumin (3.99 g/dl) and bilirubin (3.89 mg/dl). Notably, Group 3 (G3), treated with TAA, exhibited markedly elevated levels of albumin (8.90 g/dl) and bilirubin (8.05 mg/dl), suggesting significant alterations induced by TAA toxicity. Conversely, Group 4 (G4), which received (Cl) before TAA administration, demonstrated a reduction in albumin (5.14 ± 0.93 g/dl) and bilirubin (4.78 ± 0.78 mg/dl) compared to the TAA group. These findings indicate a significant increase in albumin and bilirubin levels were noted in both the TAA group and the Cl with TAA group compared to the control group (p < 0.05) (Table 1, Fig. 2a, b).

Hematology examination

A notable increase (p < 0.05) in the WBC count was detected in the TAA group, with noteworthy changes also observed in the Cl with TAA group compared to the control group (Table 2, Fig. 3a). Moreover, there was a significant rise in RBCs in the Cl with TAA group. In contrast, a decline in RBCs was seen in the TAA group (Table 2, Fig. 3b). As for Hb levels, a slight increase was evident in the Cl with the TAA group. At the same time, a reduction was found in the TAA group compared with the control (Table 2, Fig. 3c). Additionally, a significant rise in PLT count was observed in both the TAA and Cl with TAA-treated groups compared to the control group (Table 2, Fig. 3d).

Lipid profile

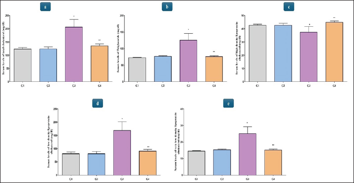
Following the administration of Cl and TAA for 8 weeks, a significant elevation was noted in the mean levels of total cholesterol, triglycerides, LDL-C, and VLD-C in both the TAA and Cl with TAA groups compared to the control (Table 3, Fig. 4a, b, c, and d). Furthermore, a marked increase in HDL-C was observed in the Cl with TAA group compared to the control one. However, there was a decrease in the overall levels of HDL-C in the TAA group compared to the control group (Table 3, Fig. 4e).

Table 1. Analyzing the mean values of albumin and bilirubin among study groups.

Fig. 2. a) Comparative analysis of serum a) bilirubin (mg/dl) and b) albumin (g/l) levels among studied groups.

Table 2. Comparison of mean biochemical parameters across study groups, including WBCs, RBCs, Hb, and PLT.

Immunohistochemistry analysis

Testis sections from the experimental groups have been subjected to immunostaining with Ki-67, serving as a specific marker for testis cells. Normal cells exhibiting positivity for Ki-67 between seminiferous tubules were identified in groups G1, G2, and G4 (Fig. 5a, b, and d). Conversely, group G3 exhibited a weak positive staining for Ki-67 (Fig. 5c).


Discussion

The present research has proven a significant increase in albumin and bilirubin levels in both the TAA and TAA with Cl groups relative to the control. This observation suggests that albumin may play a role in transporting other molecules to the sperm membrane through epididymal maturation. These findings align with (Hao et al., 2011), who reported elevated levels of serum biomarkers for liver function following TAA treatment. Additionally, our results support the findings of Shea et al. (2014), who highlighted the importance of serum albumin distribution in the rat testis, as it functions as the primary transporter of testosterone in both plasma and interstitial fluid. In the male reproductive tract, albumin could be implicated in various processes, such as the transport of molecules during epididymal maturation and membrane remodeling during sperm-oocyte fusion, as suggested by Dacheux and Dacheux (2014). Our findings also corroborate with (Chen and Chen, 2022), who observed a correlation between heightened levels of blood bilirubin and a reduction in sperm motility while maintaining normal morphology. This indicates that bilirubin may affect sperm quality by influencing the BTB through multiple pathways.

Fig. 3. Comparative analysis of a) white blood cell count (cells/mm3), b) red blood cell count (cells/mm3), c) hemoglobin concentration (g/dl), and d) platelet count (cells/mm3) among studied groups.

Table 3. Comparison of mean values of biochemical parameters among the study groups, including Cholesterol, Triglyceride, HDL-C, LDL-C, and VLDL-C.

The findings of our study are consistent with those of (Kehinde et al., 2021), indicating that C. longa improves testicular morphology. We observed a significant rise in WBCs and a decrease in RBCs in group G3, whereas a significant reduction in WBCs and an increase in RBCs were noted in group G4 compared to the control group. Additionally, hemoglobin (HB) levels were slightly higher in G4 and lower in G3 relative to the control. However, there was a substantial improvement in PLT count in both G3 and G4. These results suggest that the increase in WBCs may be because of their role in combating the toxicity triggered by TAA in testicular tissue. This finding aligns with the study by (Abbasi et al., 2013), which reported an inflammatory response to the acute and chronic toxicity of TAA.

Fig. 4. Comparative analysis serum levels of a) total Cholesterol (mg/dl), b) Triglyceride (mg/dl), c) HDL-C (mg/dl), d) LDL-C (mg/dl), and e) VLDL-C (mg/dl) among studied groups.

Fig. 5. Photomicrographs of testis sections from adult male rat: (a) g1: seminiferous tubules with positive ki67 immunostaining in spermatogonia (g) and primary spermatocytes (PS); (b) G2: Enhanced ki67 immunostaining in spermatogonia and some primary spermatocytes; (c) G3: Seminiferous tubules exhibiting weakly positive ki67 immunostaining in the nuclei of few spermatogonia and primary spermatocytes; (d) G4: Some seminiferous tubules appear depleted of spermatogenic ki67-positive cells, while others show ki67-positive nuclei of some spermatogonia and primary spermatocytes.

The results of our study align with the findings of Cheng and Mruk, (2012), who reported that spermatogenesis could be disrupted without proper blood cell function, leading to male infertility. WBCs are significant contributors to male infertility, with higher WBC numbers observed in infertility patients compared to fertile men. Moreover, Leukocytospermia has been found to be correlated with a reduction in sperm count and a decline in sperm motility. Our study also revealed that C. longa powder significantly increased body weight gain and blood HB concentration, consistent with the findings of (Sethy et al., 2016). Furthermore, a substantial increase in cholesterol, triglyceride, (LDL-C), and (VLD-C) levels has been detected in both groups G3 and G4. Additionally, we found a significant increase in (HDL-C) in G4, while a reduction in total HDL-C levels was observed in G3. These results are consistent with the study by Arslan et al. (2017), which reported that the Cl supplement led to a decrease in serum total cholesterol levels and increased HDL-cholesterol levels.

Fig. 6. Summary result of (a) bilirubin and albumin; (b) blood cells; (c) cholesterol and triglyceride.

Our findings are consistent with the studies conducted by Ferramosca et al. (2018), which confirm the relationship between a high-fat diet, obesity, and male infertility. Additionally, the results of our study align with those of Karabulut et al. (2020), who documented an increase in the mean values of total cholesterol and triglycerides with TAA treatment. Several studies have also demonstrated that elevated levels of plasma triglycerides and cholesterol are associated with lower semen quality and infertility (Liu et al., 2017). Furthermore, our findings are consistent with those of Andrade et al. (2023) and Pakpahan et al. (2023), who reported similar results.

Hypercholesterolemia and elevated plasma triglyceride levels have been linked to diminished semen quality and direct detrimental effects on testicular function, potentially leading to male infertility. Furthermore, our results corroborate the findings of Gupta and Dixit (1988), who observed that cholesterol induces infertility in rats and rabbits by inhibiting spermatogenesis at the spermatocyte and spermatid levels. Recently, several studies have supported these findings (Sozen et al., 2022; Liu et al., 2023). Additionally, studies have highlighted the role of testosterone in regulating HDL levels and formation, emphasizing its significance in lipid metabolism (Zhang et al., 2014; Traish and Kypreos, 2011). Setchell (2009) has further supported these findings, demonstrating the adverse effects of harmful substances on the body, particularly on cholesterol and lipid metabolism. Exposure to cadmium salts weakened the BTB, as evidenced by a dose-dependent decrease in transepithelial electrical resistance in bicameral Sertoli cell cultures (Li et al., 2009). When cadmium was present, the observed disruption happened while occludin expression went down and u-plasminogen activator levels went up. Interestingly, giving Sertoli cells low doses of cadmium chloride changed the microfilaments that are connected to tight junctions. However, the presence of testosterone and follicle-stimulating hormone partially alleviated these changes, suggesting their potential protective role against the detrimental effects of cadmium (Ning et al., 2022).

On the other hand, there was a significant increase in HDL-C (good cholesterol) levels in the group treated with C. longa and TAA, indicating a potential protective or mitigating effect of turmeric on harmful cholesterol levels. This finding aligns with the work of Sudjarwo et al. (2017), who demonstrated the protective effects of curcumin. Their study showed that lead acetate significantly decreased sperm count, motility, and viability in testicular tissues, while curcumin treatment alleviated these effects. Moreover, our study found that elevated levels of harmful cholesterol (LDL-C and VLDL-C) and triglycerides are often associated with reduced fertility due to their adverse effects on sperm quality and testicular function. This observation is consistent with the findings of (Sethy et al., 2016), who observed no significant effect of turmeric supplementation on total cholesterol concentrations in broiler birds, along with other blood biochemical parameters.

In conclusion, the results of our study unequivocally confirm the toxic effects of TAA on testicular tissue, highlighting its potential threat to male reproductive health. Conversely, our findings strongly support the protective and therapeutic properties of C. longa (against TAA-induced testicular toxicity. Through its antioxidant mechanisms, Cl effectively mitigates the adverse biochemical alterations induced by TAA, thus safeguarding testicular structure and function. All results were summarized in a graphical scheme, as shown in (Fig. 6a, b, and c). These findings underscore the promising therapeutic potential of Cl in counteracting the harmful impacts of TAA on reproductive health and male fertility.


Acknowledgments

The authors thank their respective institutes for their support.

Funding

This work received no external funds.

Authors' contributions

Conceptualization, F.A.J. and F.S.A.; Data curation, B.S.A., S.B.A. and A.M.; Investigation, F.A.J., F.S.A., B.S.A., S.B.A. and A.M.; Methodology, B.S.A. and S.B.A.; Resources, F.A.J. and F.S.A.; Software, S.B.A. and A.M.; Validation, F.A.J. and F.S.A.; Writing—original draft, F.A.J., F.S.A., B.S.A. and S.B.A.; Writing—review & editing, F.A.J., F.S.A., B.S.A., S.B.A. and A.M.. All authors have read and agreed to the published version of the manuscript.

Conflict of interest

The authors declare that there is no conflict of interest.

Data availability

The data presented in this study are available in the manuscript and any further clarifications can be obtained on reasonable request from the corresponding author.


References

Abbasi, M. H., Akhtar, T., Malik, I.A., Fatima, S., Khawar, B., Mujeeb, K.A., Mustafa, G., Hussain S., Iqbal, J. and Sheikh, N. 2013. Acute and chronic toxicity of thioacteamide and alterations in blood cell indices in rats. J. Cancer Therap. 4(1), 251–259.

Abd El-Hack, M.E., Alazragi, R., Khafaga, A.F., Qadhi, A., Ghafouri, K., Azhar, W. and Świątkiewicz, S. 2024. The relationship between dietary curcumin supplementation and metabolic syndrome–a review. Ann. Anim. Sci. 24(2), 413–424.‏

Abdou, S., Taha, N., Mandour, A., Lebda, M., H. Hofi, H. and A. ElMorshedy. 2015. Antifibrotic effect of curcumin on thioacetamide induced liver fibrosis. Alexandria J. Vet. Sci. 45(1), 43.

Abou-Kassem, D.E., Abd El-Hack, M.E., Taha, A.E., Ajarem, J.S., Maodaa, S.N. and Allam A.A. 2020. Detoxification impacts of ascorbic acid and clay on laying Japanese quail fed diets polluted by various levels of cadmium. Animals, 10(3), 372.‏

Agarwal, A., Hamada, A. and Esteves, S.C. 2012. Insight into oxidative stress in varicocele-associated male infertility: part 1. Nature Rev. Urol. 9(12), 678–690.

Alagawany, M., Farag, M.R., Abd El-Hack, M.E, and Patra, A. 2017. Heat stress: effects on productive and reproductive performance of quail. World's Poult. Sci. J.73(4), 747–756.‏

Andrade, G., Iori, I., Hsieh, M.K., Milani, G., Zandoná, P.C., Teixeira, T.A., Drevet, J.R., Costa, E.M. and Hallak, J. 2023. Serum lipid profile levels and semen quality: new insights and clinical perspectives for male infertility and men’s health. Int. Urol. Nephrol. 55(10), 2397–2404.

Arslan, M., ul Haq, A., Ashraf, M., Iqbal, J. and Mund, M.D., 2017. Effect of turmeric (Curcuma longa) supplementation on growth performance, immune response, carcass characteristics and cholesterol profile in broilers. Veterinaria 66(1), 16–20.

Asher, G. N., and Spelman, K. 2013. Clinical utility of curcumin extract. Altern. Ther. Health Med. 19(2), 20–22.

Belinskaia, D., Voronina, P. and Goncharov, N. 2021. Integrative role of albumin: evolutionary, biochemical and pathophysiological aspects. J. Evol. Biochem. Physiol. 57, 1419–1448.

Casas-Grajales, S., Vázquez-Flores, L.F., Ramos-Tovar, E., Hernández-Aquino, E., Flores-Beltrán, R.E., Cerda-García-Rojas, C.M., Camacho, J., Shibayama, M., Tsutsumi, V. and Muriel, P., 2017 Quercetin reverses experimental cirrhosis by immunomodulation of the proinflammatory and profibrotic processes. Fundamen. Clin. Pharmacol. 31(6), 610–624.

Chen, Y.Y., and Chen, W.L. 2022. Serum bilirubin and sperm quality in adult population. Toxics 10(6), 295.

Cheng, C.Y. 2015. Toxicants target cell junctions in the testis: insights from the indazole-carboxylic acid model. Spermatogenesis 4(2), e981485–e981485.

Cheng, C.Y., and Mruk, D.D. 2012. The blood-testis barrier and its implications for male contraception. Pharmacol. Rev. 64(1), 16–64.

Dacheux, J.L., and Dacheux, F. 2014. New insights into epididymal function in relation to sperm maturation. Reproduction 147(2), R27–R42.

Ferramosca, A., Di Giacomo, M., Moscatelli, N. and Zara, V. 2018. Obesity and male infertility: role of fatty acids in the modulation of sperm energetic metabolism. European J. Lipid Sci. Technol. 120(4), 1700451.

Gupta, R.S., and Dixit, V.P. 1988. Effect of dietary cholesterol on spermatogenesis. Zeitschrift für Ernährungswissenschaft 27(4), 236–243.

Hao, H., Zhang, L., Jiang, S., Sun, S., Gong, P., Xie, Y., Zhou, X. and Wang, G., 2011. Thioacetamide intoxication triggers transcriptional up-regulation but enzyme inactivation of UDP-Glucuronosyltransferases. Drug Metabol. Disposit. 39(10), 1815–1822.

Hernández-Silva, G., and Chirinos, M. 2019. Proteins from male and female reproductive tracts involved in sperm function regulation. Zygote 27(1), 5–16.

Kang, J.S., Morimura, K., Toda, C., Wanibuchi, H., Wei, M., Kojima, N. and Fukushima, S., 2006. Testicular toxicity of DEHP, but not DEHA, is elevated under conditions of thioacetamide-induced liver damage. Reprod. Toxicol. 21(3), 253–259.

Karabulut, D., Akın, A.T., Sayan, M., Kaymak, E., Ozturk, E. and Yakan, B., 2020. Efectos de la melatonina contra la toxicidad testicular inducida por tioacetamida en ratas. Int. J. Morphol. 38(5), 1455–1462.

Kehinde, S.O., Ogedengbe, O.O., Linus, E.A., Erinomo, O.O., Ajumobi, K.O., Naidu, E.C.S. and Azu, O.O., 2021. Histomorphological study of the effects of aqueous extract of Curcuma longa on highly active antiretroviral therapy-induced testicular toxicity. Andrologia 53(3), e13952.

Li, M.W., Mruk, D.D., Lee, W.M. and Cheng, C.Y., 2009. Disruption of the blood-testis barrier integrity by bisphenol A in vitro: is this a suitable model for studying blood-testis barrier dynamics? Int. J. Biochem. Cell Biol. 41(11), 2302–2314.

Li, N., Wang, T. and Han, D. 2012. Structural, cellular and molecular aspects of immune privilege in the testis. Front. Immunol. 3, 25150.

Li, X., and Liu, X. 2005. Foreign direct investment and economic growth: an increasingly endogenous relationship. World Develop. 33(3), 393–407.

Liu, C.Y., Chou, Y.C., Lin, S.H., Wu, S.T., Cha, T.L., Chen, H.I. and Tsao, C.W., 2017. Serum lipid profiles are associated with semen quality. Asian J. Androl. 19(6), 633–638.

Liu, L., Zhang, M., Jiang, F., Luo, D., Liu, S., Su, Y., Guan, Q. and Yu, C., 2023. High cholesterol diet–induced testicular dysfunction in rats. Hormones 22(4), 685–694.

Memarzia, A., Khazdair, M.R., Behrouz, S., Gholamnezhad, Z., Jafarnezhad, M., Saadat, S. and Boskabady, M.H., 2021. Experimental and clinical reports on anti-inflammatory, antioxidant, and immunomodulatory effects of Curcuma longa and curcumin, an updated and comprehensive review. BioFactors 47(3), 311–350.

Ning, W., Liao, X., Dong, X., Wang, Y., Yang, X., Xu, J., Yi, S. and Yang, Z., 2022. Protective effect of astragaloside IV on cadmium-induced spermatogenesis microenvironment damage in rats. Syst. Biol. Reprod. Med. 68(3), 203–212.

Pakpahan, C., Rezano, A., Margiana, R., Amanda, B., Agustinus, A. and Darmadi, D., 2023. The association between lipid serum and semen parameters: a systematic review. Reprod. Sci. 30(3), 761–771.

Rahman, T.M., Diakanov, I., Selden, C. and Hodgson, H., 2005. Co-transplantation of encapsulated HepG2 and rat Sertoli cells improves outcome in a thioacetamide induced rat model of acute hepatic failure. Transplant Int. 18(8), 1001–1009.

Ramli, N.S.K., Giribabu, N., Karim, K. and Salleh, N., 2019. Hormonal control of vas deferens fluid volume and aquaporin expression in rats. J. Mol. Histol. 50, 21–34.

Saez Lancellotti, T.E., Boarelli, P.V., Monclus, M.A., Cabrillana, M.E., Clementi, M.A., Espínola, L.S., Cid Barria, J.L., Vincenti, A.E., Santi, A.G. and Fornés, M.W., 2010. Hypercholesterolemia impaired sperm functionality in rabbits. PLoS One 5(10), e13457–e13457.

Seidavi, A., Tavakoli, M., Slozhenkina, M., Gorlov, I., Hashem, N.M., Asroosh, F., Swelum, A.A. 2021. The use of some plant-derived products as effective alternatives to antibiotic growth promoters in organic poultry production: a review. Environ. Sci. Poll. Res. 28, 47856–47868.‏

Setchell, B.P. 2009. Blood-Testis Barrier, Junctional and Transport Proteins and Spermatogenesis Advances in Experimental Medicine and Biology. New York, NY: Springer, pp: 212–233.

Sethy, K., Swain, P., Behera, K., Nayak, S.M., Barik, S.R., Patro, P. and Meher, P., 2016. Effect of turmeric (Curcuma longa) supplementation on growth and blood chemistry of broilers. Explor. Anim. Med. Res. 6(1), 75–79.

Sharma, A., Minhas, S., Dhillo, W.S. and Jayasena, C.N., 2021. Male infertility due to testicular disorders. J. Clin. Endocrinol. Metabol. 106(2), e442–e459.

Sharma, R., Gupta, S., Agarwal, A., Henkel, R., Finelli, R., Parekh, N., Saleh, R., Arafa, M., Ko, E., Zini, A. and Tadros, N., 2022. Relevance of leukocytospermia and semen culture and its true place in diagnosing and treating male infertility. World J. Mens Health 40(2), 191.

Shea, J.L., Wong, P.Y. and Chen, Y., 2014. Free testosterone: clinical utility and important analytical aspects of measurement. Adv. Clin. Chem. 63, 59–84.

Soomro, R.N., Abd El-Hack, M.E., Shah, S.S., Taha, A.E., Alagawany, M., Swelum, A.A., Hussein, E.O., Ba-Aawdh, H.A., Saadeldin, I., El-Edel, M.A. and Tufarelli, V., 2019. Impact of restricting feed and probiotic supplementation on growth performance, mortality and carcass traits of meat-type quails. Anim. Sci. J. 90(10), 1388–1395.‏

Sozen, E., Demirel-Yalciner, T., Koroglu, M.K., Elmas, M.A., Ercan, F. and Ozer, N.K., 2022. High cholesterol diet activates ER stress mediated apoptosis in testes tissue: role of α-tocopherol. IUBMB Life 74(1), 85–92.

Sudjarwo, S.A. and Sudjarwo, G.W., 2017. Protective effect of curcumin on lead acetate-induced testicular toxicity in Wistar rats. Res. Pharm. Sci. 12(5), 381–390.

Traish, A.M. and Kypreos, K.E., 2011. Testosterone and cardiovascular disease: an old idea with modern clinical implications. Atherosclerosis 214(2), 244–248.

Wasef, L.G., Shaheen, H.M., El-Sayed, Y.S., Shalaby, T.I., Samak, D.H., Abd El-Hack, M.E., Al-Owaimer, A., Saadeldin, I.M., El-Mleeh, A., Ba-Awadh, H. and Swelum, A.A., 2020.Effects of silver nanoparticles on burn wound healing in a mouse model. Biol. Trace Element Res. 193, 456–465.‏

Zhang, N., Zhang, H., Zhang, X.U., Zhang, B., Wang, F., Wang, C., Zhao, M., Yu, C., Gao, L., Zhao, J. and Guan, Q., 2014. The relationship between endogenous testosterone and lipid profile in middle-aged and elderly Chinese men. European J. Endocrinol. 170(4), 487–494.



How to Cite this Article
Pubmed Style

Jaber FA, Alaryani FS, Almutiri BS, Abdu SB, Mohammed A. Advantages of Curcuma longa in preventing male infertility caused by thioacetamide. Open Vet. J.. 2024; 14(7): 1585-1595. doi:10.5455/OVJ.2024.v14.i7.8


Web Style

Jaber FA, Alaryani FS, Almutiri BS, Abdu SB, Mohammed A. Advantages of Curcuma longa in preventing male infertility caused by thioacetamide. https://www.openveterinaryjournal.com/?mno=197417 [Access: December 07, 2025]. doi:10.5455/OVJ.2024.v14.i7.8


AMA (American Medical Association) Style

Jaber FA, Alaryani FS, Almutiri BS, Abdu SB, Mohammed A. Advantages of Curcuma longa in preventing male infertility caused by thioacetamide. Open Vet. J.. 2024; 14(7): 1585-1595. doi:10.5455/OVJ.2024.v14.i7.8



Vancouver/ICMJE Style

Jaber FA, Alaryani FS, Almutiri BS, Abdu SB, Mohammed A. Advantages of Curcuma longa in preventing male infertility caused by thioacetamide. Open Vet. J.. (2024), [cited December 07, 2025]; 14(7): 1585-1595. doi:10.5455/OVJ.2024.v14.i7.8



Harvard Style

Jaber, F. A., Alaryani, . F. S., Almutiri, . B. S., Abdu, . S. B. & Mohammed, . A. (2024) Advantages of Curcuma longa in preventing male infertility caused by thioacetamide. Open Vet. J., 14 (7), 1585-1595. doi:10.5455/OVJ.2024.v14.i7.8



Turabian Style

Jaber, Fatima A., Fatima S. Alaryani, Boudor S. Almutiri, Suzan B. Abdu, and Arif Mohammed. 2024. Advantages of Curcuma longa in preventing male infertility caused by thioacetamide. Open Veterinary Journal, 14 (7), 1585-1595. doi:10.5455/OVJ.2024.v14.i7.8



Chicago Style

Jaber, Fatima A., Fatima S. Alaryani, Boudor S. Almutiri, Suzan B. Abdu, and Arif Mohammed. "Advantages of Curcuma longa in preventing male infertility caused by thioacetamide." Open Veterinary Journal 14 (2024), 1585-1595. doi:10.5455/OVJ.2024.v14.i7.8



MLA (The Modern Language Association) Style

Jaber, Fatima A., Fatima S. Alaryani, Boudor S. Almutiri, Suzan B. Abdu, and Arif Mohammed. "Advantages of Curcuma longa in preventing male infertility caused by thioacetamide." Open Veterinary Journal 14.7 (2024), 1585-1595. Print. doi:10.5455/OVJ.2024.v14.i7.8



APA (American Psychological Association) Style

Jaber, F. A., Alaryani, . F. S., Almutiri, . B. S., Abdu, . S. B. & Mohammed, . A. (2024) Advantages of Curcuma longa in preventing male infertility caused by thioacetamide. Open Veterinary Journal, 14 (7), 1585-1595. doi:10.5455/OVJ.2024.v14.i7.8