E-ISSN 2218-6050 | ISSN 2226-4485
 

Research Article


Open Veterinary Journal, (2025), Vol. 15(7): 3156-3176

Research Article

10.5455/OVJ.2025.v15.i7.27

Quantification and trends of antimicrobial use in commercial adult dairy and calves during summer and winter in Pakistan

Muhammad Umair1,2, Muhammad Usman Zaheer3,4, Muhammad Farooq Tahir3,5, Rana Muhammad Abdullah1, Jabir Ali1, Muhammad Abubakar6, Riasat Wasee Ullah7,8, Muhammad Akram7, Javaria Alam3, Usman Talib9, Sami Ullah Khan Bahadur3 ,4, Qadeer Ahsan9 and Mashkoor Mohsin1*

1Institute of Microbiology, University of Agriculture, Faisalabad, Pakistan

2Department of Biology, INEOS Oxford Institute for Antimicrobial Research, University of Oxford, Oxford, UK

3Fleming Fund Country Grant Pakistan, Health Security Partners, Washington, DC, USA

4Animal Population Health Institute, College of Veterinary Medicine and Biomedical Sciences, Colorado State University, Fort Collins, CO, USA

5Integral global, Atlanta, GA, USA

6National Veterinary Laboratory, MNFSR, Islamabad, Pakistan

7Livestock Wing, Ministry of National Food Security and Research, Islamabad, Pakistan

8Food and Agriculture Organization of the United Nations, Country Office, Islamabad, Pakistan

9Fleming Fund Country Grant Pakistan, DAI Pakistan Private Limited, Islamabad, Pakistan

*Corresponding Author: Mashkoor Mohsin,. Institute of Microbiology, University of Agriculture, Faisalabad 38000, Pakistan. Email: mashkoormohsin [at] uaf.edu.pk

Submitted: 16/12/2024 Revised: 13/05/2025 Accepted: 06/06/2025 Published: 31/07/2025


ABSTRACT

Background: Surveillance of antimicrobial use (AMU) in food animals is a key strategy to tackle the problem of antimicrobial resistance.

Aim: A cross-sectional period prevalence survey was conducted to collect AMU data from 12 dairy farms in two provinces (Punjab and Khyber Pakhtunkhwa) in Pakistan.

Methods: AMU data were analyzed using three metrics, that is, antimicrobial chemical compound (in kg), (mg/PCU), and [defined daily dose animal (DDDA)/1,000 animal-days].

Results: The total usage in adult dairy cattle in terms of mg/PCU and treatment incidences across both seasons and all provinces were 6.36 mg/PCU and 26.34 DDDA/1,000 animal-days. In adult dairy cattle, the cumulative AMU across both seasons and provinces was 15.23 kg, 6.36 mg/PCU, and 26.34 DDDA/1,000 animal-days, whereas in calves the figures were 1.22 kg, 8.58 mg/PCU, and 36.71 DDDA/1,000 animal-days. Treatment incidences were 23.9% lower in adult dairy cattle and 65% lower in calves in winter than in summer. In adult dairy cattle, 17.35% of antimicrobials used were highest priority critically important antimicrobials (HPCIAs).

Conclusion: These findings highlight the need for countrywide AMU monitoring and regulations on HPCIAs in food animals.

Keywords: Antimicrobial use, Adult dairy cattle, Calves, Critically important antimicrobials, Pakistan.


Introduction

Antimicrobial resistance (AMR) is a complex, multisectoral public health problem associated with the irrational use of antimicrobials. Since AMR is considered a silent pandemic, a One Health approach is necessary to tackle AMR zoonotic threats to humans, animals, and the ecosystem interface (Aslam et al., 2021). According to a recent study, bacterial AMR was associated with 4.95 million deaths worldwide in 2019, with 1.27 million deaths attributable to bacterial AMR (Murray et al., 2022).

Food animal production units, especially in agriculture-based countries, use antimicrobials for the growth and development of food animals, along with their treatment and cure. Rising market demand for meat and associated financial motives are important driving factors for using antimicrobials for commercial ventures. Previous studies have revealed that inadequate training of veterinarians on the prudent use of antimicrobials is a key factor affecting their prescription decisions (Saman et al., 2023; Arshed et al., 2025). Moreover, using antimicrobials as growth promoters in food animals is less effective than management strategies that can prevent illnesses and improve production (Kasimanickam et al., 2021). Global antimicrobial use (AMU) data suggest that the use of antimicrobials in animal production sectors is even greater than their consumption in human medicine. Tiseo and colleagues estimated global antimicrobial sales for farm animals in 2017 at 93,309 tonnes, with an expected increase of 11.5% (104,079 tonnes) by 2030 (Tiseo et al., 2020). Despite the growing recognition of the urgency of tackling AMR in many low- and middle-income countries (LMICs), there is a lack of data on the trends and quantities of AMU in food animals both at the country and farm level (Schar et al., 2018; Sanders et al., 2020).

Political commitment to combating AMR has increased significantly since 2015, when the 68th World Health Assembly approved the global action plan (GAP) on AMR (WHO, 2015). Surveillance of AMU in food animals and its reduction in animal husbandry while maintaining animal health and welfare are the key strategic objectives indicated in many regional and global initiatives to address the AMR crisis. This includes the GAP and subsequent plans developed by the Food and Agriculture Organization (FAO) of the United Nations and the World Organization for Animal Health (WOAH) (OIE, 2016; Qiu et al., 2024). As a result, many countries, including Pakistan, have drafted their national action plans (NAP) based on the “One Health” approach to combat AMR. Pakistan’s NAP on AMR (NAP-AMR) emphasizes AMU surveillance in food animals to address the AMR crisis. The plan aims to promote the rational use of antimicrobials by identifying knowledge gaps in potential areas for dedicated research and stewardship programs in food animal production (GOP, 2017).

Pakistan has an agro-livestock–based economy, with livestock as the largest subsector of agriculture, contributing 60.6% to agricultural gross domestic product (GDP) and 11.7% to national GDP. Livestock contributes to the country’s exports and engages more than 8 million rural families, who derive up to 40% of their income from this sector (Mubeen et al., 2024). Due to its high growth potential, the current government has focused on the livestock production sector for economic growth, food security, and rural socioeconomic uplift (GOP, 2020). Most of the cattle and buffalo are kept in small backyard/subsistence herds; for instance, 74% of large ruminants in Punjab province are kept in small herds of 1–10 heads (Zaheer et al., 2020; Khan et al., 2024).

The NAP-AMR has emerged as a comprehensive document describing Pakistan’s AMR prevention and control vision. The plan calls for immediate actions to reduce AMU and AMR levels in the human and livestock sectors. In response, point prevalence surveys have been conducted in the commercial broiler sector (Umair et al., 2021b), which provided high-resolution data on farm-level AMU, including seasonal and geographic differences. However, there is no sufficient data on the trends and quantities of AMU in dairy animals in Pakistan.

Umair et al. (2020) published the first report of AMU in two large corporate dairy cattle farms in Pakistan, which showed total on-farm AMU to be 47.71 defined daily dose animals (DDDAs) per thousand cow days (DDDA/1,000 cow-days). Oxytetracycline (7.02 DDDA/1,000 cow-days), penicillin G (6.24 DDDA/1,000 cow-days), and cefalonium (4.27 DDDA/1,000 cow-days) were frequently used antimicrobials at the farm level. These figures reveal that these corporate dairy farms in Pakistan used considerably higher amounts of antimicrobials than those used in global studies. Mohsin and colleagues have published the first quantitative analysis of AMU in commercial poultry in Pakistan (Mohsin et al., 2019). The survey was conducted at a single commercial broiler production facility for 5 years, and the farm-level AMU was estimated to be as high as 250 mg/kg of the final flock weight. This figure surpasses the global volumes of antimicrobials used per kilogram of chicken, excluding China (OECD, 2019).

The estimation and reduction of AMU while maintaining animal health is the central goal of Pakistan’s NAP on AMR. In March 2020, the Government of Pakistan hosted a Workshop on “Monitoring of the Quantities and Usage Patterns of Antimicrobial Agents Used in Animals” through support from the WOAH and the Fleming Fund Country Grant Pakistan. In the workshop, AMU monitoring in food animals was considered a key factor in understanding the baseline status of AMU in the poultry and dairy sectors. Subsequently, to gain a broader perspective and examine differences in AMU between the two provinces in commercial dairy farming, the Animal Health Commissioner office, in collaboration with the provincial Livestock and Dairy Development Departments of Punjab and Khyber Pakhtunkhwa (KP), along with the National Veterinary Laboratory, initiated a data collection effort for high-resolution quantification of AMU at the farm level in dairy animals across Pakistan. The aim of this study was to conduct a cross-sectional period prevalence study to investigate AMU in the commercial dairy sector and to establish proxy values, identify field challenges, and highlight limitations in quantifying AMU in the context of Pakistan.


Materials and Methods

Study settings

Backyard subsistence farming, characterized by small herd sizes ranging from 1 to 10 animals, presents unique challenges due to the wide geographical distribution of livestock and the involvement of numerous households. Given the constraints in physical and financial resources, a cross-sectional, period prevalence survey was conducted to assess AMU in commercial dairy cattle farms during the summer of 2020, between July and August, and the winter of 2020/2021, between November and January. The farms were selected from the Punjab and KP provinces, holding a share of 61.41% and 10.83% of Pakistan’s dairy animals, respectively (GOP, 2010; Zaheer et al., 2020). These farmers maintain few, if any, production or treatment records. Based on available resources, possible challenges, and reliability of collected data, a cross-sectional period prevalence study AMU survey was planned for small- to medium-scale commercial dairy cattle farms, housing n=100 dairy animals or above. A convenience sampling approach was used, relying on the voluntary participation of dairy farms. A total of 12 dairy cattle farms, six each from Punjab and KP provinces, herding more than 100 exotic/cross-bred animals, were included in the survey (Table 1, Fig. 1). Participation of the farms in the survey was voluntary, and data collection was monitored virtually, once every week via social media applications. The projects were identified in collaboration with the Animal Husbandry Commissioner’s Office and the relevant provincial Livestock and Dairy Development Departments. Farms that did not continue for the winter phase of the AMU data collection were replaced with new farms from the same region, and the AMU calculations were based on the total number of farms during each season in each province and not calculated individually by farm.

Data collection

Data were collected using a survey questionnaire/Data collection tool (Supplementary Material). The DCT was designed to capture data on farm demographics, tentative diagnosis, quantities, and volumes of antimicrobials used, and other related information about the animals and herd. The personnel, consisting of one farm employee from each farm, involved in data collection, were trained for data collection on DCT during on-site training. On farm treatments, including the number of animals treated, dosage, and brand names of antimicrobials used, data were recorded on DCT on a daily basis. Trash cans were placed at each farm to enhance the ability of the farms to capture reliable data. The farm supervisors were requested to discard the empty antibiotic vials and bottles in the trash cans. Vials and packaging materials were used to identify the active ingredients and concentrations of the antimicrobials in each brand. The data were collected for 3 months over two cross-sectional surveys, that is, 4 weeks during the summer (July–August 2020) and 8 weeks during the winter phase (November 2020–January 2021). At the end of the survey, the DCT and empty vials were collected from the farms for data compilation and analysis. The data were managed using MS Excel software 2016.

AMU calculations

For high-resolution quantification of AMU at dairy cattle farms, three metrics were used that is, antimicrobial chemical compound (ACC, as grams or kilograms), milligrams of ACC used per population correction unit (mg/PCU), and antimicrobial treatment incidence (ATI, as DDDA/1,000 animal-days). ACC and mg/PCU quantify the volumes of antimicrobials used, whereas ATI quantifies treatment frequencies. All calculations were performed separately for both adult dairy cattle and calves for each season and province.

Antimicrobial active compounds

Formulation of each antimicrobial product, that is, ACC/s and their concentrations, was taken from product containers or labels in the trash can contents or online searching of the respective product. Product quantities and ACC concentrations were used to calculate the weight (kg) of ACC for each antimicrobial class (Eq. 1). Calculations for all three metrics were performed against respective ACCs instead of the antimicrobial active chemical moiety (e.g., gentamicin sulfate instead of gentamicin) (WOAH, 2022).

Milligrams of ACC per population correction unit

The total amount of ACC used in milligrams was divided by the population correction unit (PCU) for dairy cattle and calves to calculate the mg/PCU for dairy cattle and calves, respectively. The PCU was calculated by multiplying the total number of dairy cattle or calves by 425 or 140 kg, respectively (standardized average weight of dairy cattle and calves at the estimated time of treatment) (ESVAC, 2018) (Eqs. 2 and 3).

The cumulative mg/PCU was calculated as follows:

where N is the total number of animals treated.

Antimicrobial treatment incidence

The total number of antimicrobial treatments per 1,000 animals per day was calculated as DDDA per 1,000 animal days. DDDAs (i.e., milligrams of ACC recommended to be administered per animal per day) for products containing single or multiple ACCs were taken from the product containers or labels obtained from the trash can contents or by visiting the manufacturer’s website. For long-acting products (to be repeated after 48 hours), the DDDAs for each ACC were divided by two. For intermammary applicators, one applicator was accounted as a single DDDA (EMA, 2015; Firth et al., 2017; Umair et al., 2020) (Eqs. 4–6).

where TF is the treatment factor, which was calculated as follows:

where animal-days is the product of the total number of animals at risk and the number of studied days.

The cumulative ATI was calculated as follows:

where nDDDA is the total number of DDDAs used, and N is the total number of dairy cattle farms.

Table 1. Commercial dairy farm locations and number of animals.

Calculations of WHO critically important antimicrobials

All antimicrobial drugs used in adult dairy cattle and calves were categorized per the WHO list of critically important antimicrobials (IAs) for human medicine (WHO-CIA) (WHO, 2019). AMU percentages of WHO-CIA classes were calculated for the total ACCs used in adult dairy cattle and calves.

Ethical approval

Not needed for this study.


Results

AMU data collection

Due to voluntary participation, for the summer phase, 10 out of 12 commercial dairy cattle farms completed the DCT treatment record. However, for the winter phase, PD-4 and PD-6 from Punjab and KD-3 and KD-4 from KP did not continue the survey and were replaced with PD-7 and PD-8 and KD-5 and KD-6, respectively.

AMU of adult dairy cattle

In dairy cattle, 29 ACCs belonging to 15 antimicrobial classes were used at the surveyed farms in Punjab and KP during summer and winter. The cumulative AMU in adult cattle across both provinces for summer and winter was 15.23 kg, 6.36 mg/PCU, and 26.34 DDDA/1,000 animal-days. The total ACC weight of adult cattle in each province, during the time periods of study, was 12.61 kg in Punjab and 2.62 kg in KP. The total mg/PCU AMU for adult cattle in Punjab and KP in the studied time period was calculated to be 7.14 and 4.15, respectively. Streptomycin (3.17 mg/PCU), oxytetracycline (1.51 mg/PCU), enrofloxacin (1.38 mg/PCU), penicillin G (1.32 mg/PCU), and amoxicillin (1.09 mg/PCU) were the most heavily used antimicrobials per adult cow PCU in Punjab and KP in both seasons Table 2.

The incidences of antimicrobial treatment for adult cattle in Punjab and KP across both seasons and all antimicrobials were 34.14 and 10.43 DDDA/1,000 animal-days, respectively. With all study treatments of adult cattle totalled, enrofloxacin (5.92 DDA/1,000 animal-days), penicillin G (2.81 DDA/1,000 animal-days), gentamicin (2.73 DDA/1,000 animal-days), oxytetracycline (1.56 DDA/1,000 animal-days), and tylosin (1.48 DDA/1,000 animal-days) were overall the most frequently used antimicrobials. Enrofloxacin, penicillin G, and gentamicin were shared antimicrobials among the most frequently used for adult cattle in Punjab and KP, with treatment incidences 7.09, 3.54, 3.5 DDDA/1,000 animal-days and 3.53, 1.32, and 1.17 DDDA/1,000 animal-days in Punjab and KP, respectively (Table 2, Fig. 2).

Fig. 1. Geographical locations of dairy farms in Punjab and Khyber Pakhtunkhwa participating in the AMU survey during the summer and winter months.

Pb (Punjab); KPK (Khyber Pakhtunkhwa)

In adult dairy cattle, antimicrobials were most frequently administered via the parenteral route, followed by intrauterine, intramammary, and oral routes. The AMU results for individual provinces and seasons classified according to the route of administration are given in Appendix S1 (Supplementary material).

AMU in calves

In calves, 19 ACCs belonging to 13 antimicrobial classes were used during the study period. Cumulative AMU values for calves across both provinces and seasons were 1.22 kg, 8.58 mg/PCU, and 36.71 DDDA/1,000 animal-days. In calves, cumulative ATI (36.71 DDDA/1,000 animal-days) was higher than in adult dairy cattle (26.34 DDDA/1,000 animal-days). The total ACC weight of calves in Punjab and KP across both seasons was 1.07 and 0.15 kg, respectively. Regarding mg/PCU, the total AMU for calves in Punjab and KP across both seasons was 9.93 and 4.32, respectively. The greatest weights of antimicrobials used per PCU of calf overall in both provinces and seasons were sulphadiazine (1.85 mg/PCU), florfenicol (1.77 mg/PCU), sulphadimidine (1.2 mg/PCU), enrofloxacin (1.05 mg/PCU), and tylosin (0.57 mg/PCU). The ATI total AMU for calves in Punjab and KP across both seasons was 45.91 and 10.69 DDDA/1,000 animal-days, respectively. In all study treatments of calves combined, enrofloxacin (10.7 DDDA/1,000 animal-days), gentamicin (5 DDDA/1,000 animal-days), colistin (3.72 DDDA/1,000 animal-days), tylosin (3.47 DDDA/1,000 animal-days), and sulphadiazine (2.65 DDDA/1,000 animal-days) were overall the most frequently used antimicrobials (Table 3, Fig. 2). In calves, antimicrobials were frequently administered via the parenteral route, followed by oral administration.

Table 2. Total AMU in adult dairy cattle divided into seasons (summer and winter) and provinces (Punjab and Khyber Pakhtunkhwa).

AMU seasonal variations

Results from our study indicated that total ATIs for both provinces in adult dairy cattle increased in winter for enrofloxacin, florfenicol, penicillin G, spiramycin, streptomycin, lincomycin, and kanamycin, that is, from 12% increase in enrofloxacin (5.59 in summer–6.27 in winter DDDA/1,000 animal-days) to 900% increase in kanamycin (0.02 in summer–0.18 in winter DDDA/1,000 animal-days). However, the overall ATI for all antimicrobials used for adult cattle in winter decreased by 23.9% from summer values, that is, from 29.8 in summer to 22.68 in winter DDDA/1,000 animal-days (Table 2, Fig. 3).

In contrast, the overall ATI for all antimicrobials decreased by 65% in calves, that is, from 53.48 in summer to 18.73 in winter, DDDA/1,000 animal-days. However, the incidence of treatments increased sequentially for kanamycin (0.02–0.73 DDDA/1,000 animal-days), neomycin (0.48–2.22 DDDA/1,000 animal-days), sulphadimidine (0.53–1.62 DDDA/1,000 animal-days), penicillin G (0.34–0.47 DDDA/1,000 animal-days), sulphadiazine (2.39–2.92 DDDA/1,000 animal-days), and dihydrostreptomycin (0.05 to 0.06 DDDA/1,000 animal-days) (Table 3, Fig. 3).

AMU classification by WHO-CIA

In adult dairy cattle, in terms of ACCs used per PCU (mg/PCU), 17.35% of the antimicrobials belonged to critically IA with the highest priority for human medicine (CIA-HtP), 40.9% belonged to high-priority antimicrobials (CIA-HhP), and 41.75% belonged to IA. CIA-HtP (37.44%) were the most frequently used antimicrobials in terms of ATI, followed by IA (32.96%) and CIA-HhP (29.59%) (Table 2, Fig. 4).

In calves, in terms of ACCs weight IA (63.64%) was the most commonly used antimicrobial, followed by CIA-HtP (24.01%) and CIA-HhP (12.59). Among the ATI values, CIA-HtP (53.91%) was the most frequently used antimicrobial, followed by IA (26.12%) and CIA-HhP (19.97%) (Table 3, Fig. 4).


Discussion

One of the primary goals of the WHO’s GAP on AMR is to monitor AMU in food animal production systems (WHO, 2015). Implementing national- and farm-level AMU surveillance programs in many European Union countries has significantly reduced AMU in food animals (EMA, 2015). However, there are few national-level studies on AMU in food animals from LMICs (Cuong et al., 2018). Pakistan lacks formal AMU monitoring of food animals for various reasons, the most important of which is weak legislation and poor implementation of existing legislation.

As such, this study provides quantitative AMU data in support of Pakistan’s ongoing national AMR surveillance efforts, and this is the first study to be conducted on a relatively large geographical area, that is, medium- to large-sized herds from two provinces in Pakistan.

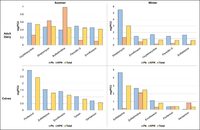
Fig. 2. Antimicrobials most used (mg/PCU) in adult dairy and calves during summer and winter.

To the best of our knowledge, no other South Asian AMU study has covered such a large cohort and geographical area. The lack of an internationally accepted standardized AMU indicator makes data comparisons across species, production types, and countries difficult (Góchez et al., 2019; Umair et al., 2021a). This study used multiple AMU indicators for dairy cattle (kg, mg/PCU, and DDDA/1,000 cow-days). Multiple AMU indicators are valuable and provide more comprehensiveness and high-resolution AMU data. However, the use of different AMU metrics—such as weight-based measures (e.g., ACC and mg/PCU) and dose-based measures (e.g., DDDA per 1,000 animal-days) – may complicate comparisons of AMU data across regions and countries. These challenges arise because of variations in animal breeds, weights, and production systems across different geographical areas (Brault et al., 2019; Umair et al., 2021a). The newly published guidelines for farm-level AMU will help streamline and strengthen national-level AMU monitoring, and Pakistan can benefit from the guidelines for future monitoring activities (FAO and WOAH, 2023).

This study calculated a lower AMU (26.34 DDDA/1,000 animal-days) in dairy cattle than the previously published study reporting 47.7 DDDA/1,000 animal-days from two commercial dairy cattle farms in Pakistan (Umair et al., 2020). Still, the value is comparable to a Brazilian study reporting 21.9 DDDA/1,000 animal-days (Tomazi and dos Santos, 2020). The variation in AMU levels between the two Pakistani studies may be attributed to differences in study duration, seasonal fluctuations, geographic regions, and the types of dairy farms involved, specifically small- to medium-scale farms versus large corporate commercial dairy farms. The higher treatment frequency observed in calves (36.71 DDDA/1,000 animal-days) was compared to dairy cattle (26.34 DDDA/1,000 animal-days) and may be attributed to suboptimal calf management and welfare practices, as well as an increased incidence of disease (Fentie et al., 2020; Ali et al., 2021).

However, 26.34 DDDA/1,000 animal-days is much higher compared to AMU figures from developed countries, that is, 4.2 and 14.88 DDDA/1,000 animal-days reported from Pennsylvania and Wisconsin, United States, respectively (Pol and Ruegg, 2007; Redding et al., 2019), 16.05 DDDA/1,000 animal-days from the Netherlands (Kuipers et al., 2016), 20.78 DDDA/1,000 animal-days from Belgium (Stevens et al., 2016), and 8.87 DDDA/1,000 animal-days from the United Kingdom (Hyde et al., 2017).

Table 3. Total AMU in calves divided into seasons (summer and winter) and provinces (Punjab and Khyber Pakhtunkhwa).

Fig. 3. Percentage difference in antimicrobial treatment incidence (ATI) in adult dairy cattle and calves during winter compared to summer. NUS=not used in summer. *Value exceeding graph limit–referred to Table 3.

This could be due to poor management and husbandry practices and inadequate knowledge, attitudes, and practices of veterinary stakeholders (veterinarians, farm owners, farm managers, veterinary pharmacies, and pharmaceutical companies) in Pakistan regarding AMU and AMR. In addition, there was a decrease in cumulative AMU from summer to winter in both adult dairy cattle (29.80 to 22.68 DDDA/1,000 animal days) and calves (53.48 to 18.73 DDDA/1,000 animal days), which could be attributed to higher disease incidence in summer rather than winter, likely due to housing conditions (Sanders et al., 2009).

Moreover, Saman and colleagues reported that the majority of antibiotics prescribed by veterinarians in Pakistan were CIAs, with a sizable proportion of CIA-HhP and CIA-HtP (Saman et al., 2023). Our findings showed that CIAs in food animals contained a considerable amount of CIA-HtP, with 17.35% in adult dairy cattle and 24.01% in calves. These findings are consistent with a recent study from Pakistan, which reported the country is importing large volumes of CIA-HtP for use in food animals (Umair et al., 2022), but contradict an earlier one (Umair et al., 2020).

Fig. 4. Area plots for various antimicrobials used overall (mg/PCU) during summer and winter were categorized as per WHO-CIA for human use classification. CIA-HtP=critically important antimicrobial with the highest priority; CIA-HhP=critically important antimicrobials with high priority; HIA=highly important antimicrobials; IA=important antimicrobials.

The use of CIA-HtPs, for example, 3rd generation cephalosporins, quinolones, and polymyxins, in food-producing animals is concerning because they are effective in treating human infections, and pathogens resistant to these last-line antimicrobials can lead to untreatable fatal infections. This can be more threatening in LMICs, such as Pakistan, where AMU/AMR surveillance is insufficient, where humans are highly exposed to animals, and herd workers’ knowledge of zoonosis is limited (Saman et al., 2023).

The AMU estimates from this first study on dairy animals in Pakistan provide valuable insights for policymakers and veterinary professionals to move toward more prudent use of antimicrobials in food animals in Pakistan. Moreover, these findings are a reminder to conduct large-scale studies on different production systems and seasons to understand the differences and develop tailored strategies. It is important to gather data over longer time periods to provide more representative baseline data, including other provinces, animal species, and farming systems. This study can guide future AMU surveillance that involves a larger number of herds to provide representative baseline data and monitor future AMU trends.

Limitations

One of the primary limitations of this study is its reliance on a convenience sample of farms, which may not be fully representative of the country’s commercial dairy sector. Additionally, farm participation varied across seasons in both provinces, potentially influencing the generalizability of our findings. Therefore, our results are not generalizable to the rest of the Pakistani dairy sector. Our data represents 3 months in dairy cattle, accounting for the summer (1 month) and winter (2 months) seasons. A longitudinal study that includes additional farms, farming systems, and animal species is required for sustainable monitoring to better understand AMU patterns in livestock in Pakistan.

Moreover, the under- or overdosing of animals with antimicrobials (i.e., not following the recommended guidelines) may result in the over- or underestimation of DDDAs. As in other studies, AMU metrics using the PCU denominator were greatly dictated by the animal weight standards. For example, adult dairy cattle can weigh 600 kg (Jensen et al., 2004) or 425 kg (ESVAC, 2018). This discrepancy provides an unreliable comparison between studies. Unlike Europe, Pakistan has not established the average weight standards of different livestock. We calculated AMU based on ESVAC’s weight standards for dairy adults and calves because these are the latest recommended standards and because most of the exotic breeds in the surveyed farms were exotic cattle imported from Europe. These limitations in calculating animal weights and dose rates present challenges when comparing our results with those from other countries.


Conclusion

The current cross-sectional period prevalence study highlights the need for a robust and well-planned AMU surveillance program for food animals in Pakistan. This study also emphasizes the need to establish national-level animal PCUs to improve the accuracy of weight-based AMU calculations. Our results show high farm-level usage of critically IA in human medicine. In the future, AMU in food animals should be more strongly regulated to reduce the risk of AMR development.

Acknowledgements

We acknowledge the support provided by the data collectors, dairy cattle farmers, Provincial Livestock and Dairy Development Department of Punjab and Khyber Pakhtunkhwa, and the Animal Husbandry Commissioner, Ministry of National Food Security and Research, Government of Pakistan. We are also indebted to a valuable review of the draft by Dr Tahmeena Hasan (DVM, MPH) for improving the quality of the manuscript. Lastly, we thank Dr Ayesha Rasheed (MBBS, MPH), former Team Lead of the Fleming Fund Country Grant Pakistan and Dr Katie Steneroden (DVM, MPH, PhD, DACVPM), Lead Public Health Veterinarian at the Center for Food Security and Public Health., Iowa State University, for the editorial review of the initial reports of this work and for the editorial and linguistics support of the final manuscript, respectively.

Conflict of interest

The authors declare no conflict of interest.

Funding

This study was supported by the Fleming Fund Country Grant for Pakistan, grant number FF16-206. The Fleming Fund is a UK aid investment programme to tackle antimicrobial resistance in low- and middle-income countries worldwide and is managed by the UK Department of Health and Social Care.

Authors’ contributions

Conceptualization, M.F.T., M.U.Z., and M.AK.; data curation, M.U. and J.A.; formal analysis, M.U.; funding acquisition, Q.A.; investigation, M.M.; methodology, M.U.; project administration, M.F.T. and M.AK.; resources, M.F.T., R.W.U., and M.U.Z.; supervision, M.M.; validation, J.A. and M.U.Z.; visualization, R.W.U., J.A., M.AB., writing—original draft, M.U., M.M., R.M.A., and S.U.K.B; writing—review and editing, J.A., M.AB., and M.U.Z. All authors have read and agreed to the published version of the manuscript.

Data availability

The data presented in this study are not publicly available.


References

Ali, A., Liaqat, S., Tariq, H., Abbas, S., Arshad, M., Li, W.J. and Ahmed, I. 2021. Neonatal calf diarrhea: a potent reservoir of multi-drug resistant bacteria, environmental contamination and public health hazard in Pakistan. Sci. Total Environ. 799, 149450; doi:10.1016/J.SCITOTENV.2021.149450.

Arshed, M.J., Umair, M., Talib, U., Tahir, M.F., Abubakar, M., Bahadur, S.U.K., Tahmeena, Ullah, R.W., Mohsin, M., Abbas, M.A., Ahsan, Q., Alam, J. and Zaheer, M.U. 2025. Status of antimicrobial resistance in food animals in Pakistan (2016–2020): a systematic review and meta-analysis. J. Adv. Vet. Anim. Res. 12, 668–679; doi: HYPERLINK “https://bdvets.org/JAVAR/V12I2/l930_pp668-679.pdf” 10.5455/javar.2025.l930

Aslam, B., Khurshid, M., Arshad, M.I., Muzammil, S., Rasool, M., Yasmeen, N., Shah, T., Chaudhry, T.H., Rasool, M.H., Shahid, A. and Xueshan, X., 2021. Antibiotic resistance: one health one world outlook. Front. Cell. Infect. Microbiol. 11, 1–20; doi:10.3389/fcimb.2021.771510.

Brault, S.A., Hannon, S.J., Gow, S.P., Otto, S.J.G., Booker, C.W. and Morley, P.S. 2019. Calculation of antimicrobial use indicators in beef feedlots—effects of choice of metric and standardized values. Front. Vet. Sci. 6, 468905; doi:10.3389/FVETS.2019.00330/BIBTEX.

Cuong, N., Padungtod, P., Thwaites, G. and Carrique-Mas, J. 2018. Antimicrobial usage in animal production: a review of the literature with a focus on low- and middle-income countries. Antibiotics 7, 75; doi:10.3390/antibiotics7030075.

European Medicines Agency (EMA). 2015. Principles on assignment of defined daily dose for animals (DDDvet) and defined course dose for animals (DCDvet). EMA: Amsterdam, The Netherlands.

European Medicines Agency. 2018. Guidance on collection and provision of national data on antimicrobial use by animal species/categories. Available via https://www.ema.europa.eu/documents/scientific-guideline/guidance-collection-provision-national-data-antimicrobial-use-animal-species/categories_en.pdf

FAO and WOAH. 2023. Guidelines on monitoring antimicrobial use at the farm level. FAO; World Organisation for Animal Health (WOAH) (founded as OIE); doi:10.4060/cc8807en.

Fentie, T., Guta, S., Mekonen, G., Temesgen, W., Melaku, A., Asefa, G., Tesfaye, S., Niguse, A., Abera, B., Kflewahd, F.Z. and Hailu, B. 2020. Assessment of major causes of calf mortality in urban and periurban dairy production system of ethiopia. Vet. Med. Int. 2020, 3075429; doi:10.1155/2020/3075429.

Firth, C.L., Käsbohrer, A., Schleicher, C., Fuchs, K., Egger-Danner, C., Mayerhofer, M., Schobesberger, H., Köfer, J. and Obritzhauser, W. 2017. Antimicrobial consumption on Austrian dairy farms: an observational study of udder disease treatments based on veterinary medication records. PeerJ. 5, e4072; doi:10.7717/peerj.4072.

Góchez, D., Raicek, M., Pinto Ferreira, J., Jeannin, M., Moulin, G. and Erlacher-Vindel, E. 2019. OIE annual report on antimicrobial agents intended for use in animals: methods used. Front. Vet. Sci. 6, 317; doi:10.3389/fvets.2019.00317.

GOP. 2010. Agricultural census 2010 - Pakistan report; all Pakistan tables in (acres). Available via https://www.pbs.gov.pk/sites/default/files/agriculture/publications/agricultural_census2010/Tables%20%28Pakistan%20-%20In%20Acres%29.pdf (Accessed 30 December 2022).

GOP. 2017. National AMR action plan for Pakistan. Available via https://www.nih.org.pk/wp-content/uploads/2018/08/AMR-National-Action-Plan-Pakistan.pdf (Accessed 21 August 2022).

GOP. 2020. Pakistan economic survey 2019-20. Available via http://www.finance.gov.pk/survey/chapter_20/PES_2019_20.pdf (Accessed 11 October 2020).

Hyde, R.M., Remnant, J.G., Bradley, A.J., Breen, J.E., Hudson, C.D., Davies, P.L., Clarke, T., Critchell, Y., Hylands, M., Linton, E. and Wood, E. 2017. Quantitative analysis of antimicrobial use on British dairy farms. Vet. Rec. 181, 683; doi:10.1136/vr.104614.

Jensen, V.F., Jacobsen, E. and Bager, F. 2004. Veterinary antimicrobial-usage statistics based on standardized measures of dosage. Prev. Vet. Med. 64, 201–215; doi:10.1016/j.prevetmed.2004.04.001.

Kasimanickam, V., Kasimanickam, M. and Kasimanickam, R. 2021. Antibiotics use in food animal production: escalation of antimicrobial resistance: where are we now in combating AMR? Med. Sci. 9(1), 14; doi:10.3390/medsci9010014

Khan, M.K., Mahmood, M.S., Ali, S., Khatoon, A., Umar, S., Mughal, M.A.S., Azeem, A., Chatha, A.K., Abbas, Z. and Rafique, A. 2024. Prevalence and characterization of Buxtonella sulcata in bovines in Pakistan using morphological and PCR-based approaches. Pak. Vet. J. 44, 1298–1302; doi:10.29261/pakvetj/2024.304

Kuipers, A., Koops, W.J. and Wemmenhove, H. 2016. Antibiotic use in dairy herds in the Netherlands from 2005 to 2012. J. Dairy Sci. 99, 1632–1648; doi: 10.3168/jds.2014-8428.

Mohsin, M., Van Boeckel, T.P., Saleemi, M.K., Umair, M., Naseem, M.N., He, C., Khan, A. and Laxminarayan, R. 2019. Excessive use of medically important antimicrobials in food animals in Pakistan: a five-year surveillance survey. Glob. Health Action. 12(sup1), 1697541; doi:10.1080/16549716.2019.1697541.

Mubeen, H., Avais, M., Khan, J.A., Rashid, M.I., Asif, M.A., Awais, M. and Iqbal, M.Z. 2024. Epidemiology of infectious bovine keratoconjunctivitis (pinkeye): a survey of commercial dairy herds in Pakistan. Pak. Vet. J. 44, 667–674; doi: HYPERLINK “https://www.pvj.com.pk/pdf-files/24-223.pdf” 10.29261/pakvetj/2024.188

Murray, C.J., Ikuta, K.S., Sharara, F., Swetschinski, L., Aguilar, G.R., Gray, A., Han, C., Bisignano, C., Rao, P., Wool, E. and Johnson, S.C. 2022. Global burden of bacterial antimicrobial resistance in 2019: a systematic analysis. Lancet 399, 629–655; doi:10.1016/S0140-6736(21)02724-0/ATTACHMENT/9787F884-B736-4861-8A32-A0F253A9AE9A/MMC1.PDF.

OECD. 2019. Working party on agricultural policies and markets antibiotic use and antibiotic resistance in food producing animals in China. Available via https://www.oecd.org/officialdocuments/publicdisplaydocumentpdf/?cote=TAD/CA/APM/WP(2018)19/FINAL&docLanguage=En (Accessed 5 May 2021).

OIE. 2016. The OIE strategy on antimicrobial resistance and the prudent use of antimicrobials. Available via https://www.oie.int/fileadmin/Home/eng/Media_Center/docs/pdf/PortailAMR/EN_OIE-AMRstrategy.pdf (Accessed 5 May 2021). Pol, M. and Ruegg, P.L.

Qiu, Y., Pinto Ferreira, J., Ullah, R.W., Flanagan, P., Zaheer, M.U., Tahir, M.F., Alam, J., Hoet, A.E., Song, J. and Akram, M. 2024. Assessment of the implementation of Pakistan’s National Action Plan on antimicrobial resistance in the agriculture and food sectors. Antibiotics. 13, 206; doi:10.3390/antibiotics13030206

Schar, D., Sommanustweechai, A., Laxminarayan, R. and Tangcharoensathien, V. 2018. Surveillance of antimicrobial consumption in animal production sectors of low- and middle-income countries: Optimizing use and addressing antimicrobial resistance. PLoS Med. 15, e1002521; doi:10.1371/journal.pmed.1002521

Saman, A., Chaudhry, M., Ijaz, M., Shaukat, W., Zaheer, M.U., Mateus, A. and Rehman, A. 2023. Assessment of knowledge, perception, practices and drivers of antimicrobial resistance and antimicrobial usage among veterinarians in Pakistan. Prev. Vet. Med. 212, 105836; doi:10.1016/j.prevetmed.2022.105836

Sanders, P., Vanderhaeghen, W., Fertner, M., Fuchs, K., Obritzhauser, W., Agunos, A., Carson, C., Borck Høg, B., Dalhoff Andersen, V., Chauvin, C., Hémonic, A., Käsbohrer, A., Merle, R., Alborali, G.L., Scali, F., Stärk, K.D.C., Muentener, C., van Geijlswijk, I., Broadfoot, F., Pokludová, L. and Dewulf, J. 2020. Monitoring of farm-level antimicrobial use to guide stewardship: overview of existing systems and analysis of key components and processes. Front. Vet. Sci. 7, 540; doi:10.3389/fvets.2020.00540

Tomazi, T. and Dos Santos, M.V. 2020. Antimicrobial use for treatment of clinical mastitis in dairy herds from Brazil and its association with herd-level descriptors. Prev. Vet. Med. 176, 104937; doi:10.1016/j.prevetmed.2020.104937

Zaheer, M.U., Burdett, C., Steneroden, K., Case, S., Weber, S., Salman, M., Rao, S. and Magzamen, S. 2020. Estimating the location of individual livestock holdings and their populations in two developing countries for use in spatial disease spread models. NJAS-Wageningen J. Life Sci. 92, 100334; doi:10.1016/j.njas.2020.100334


Appendix I: Tables

Table S1. Antimicrobial use in dairy cattle (summer).

Table S2. Antimicrobial use in dairy cattle (winter).

Table S3. Antimicrobial use in calves (summer).

Table S4. Antimicrobial use in calves (winter).


Appendix S2. Data collection tool.



How to Cite this Article
Pubmed Style

Umair M, Zaheer MU, Tahir MF, Abdullah RM, Ali J, Abubakar M, Ullah RW, Akram M, Alam J, Talib U, Bahadur SUK, Ahsan Q, Mohsin M. Quantification and trends of antimicrobial use in commercial adult dairy and calves during summer and winter in Pakistan. Open Vet. J.. 2025; 15(7): 3156-3176. doi:10.5455/OVJ.2025.v15.i7.27


Web Style

Umair M, Zaheer MU, Tahir MF, Abdullah RM, Ali J, Abubakar M, Ullah RW, Akram M, Alam J, Talib U, Bahadur SUK, Ahsan Q, Mohsin M. Quantification and trends of antimicrobial use in commercial adult dairy and calves during summer and winter in Pakistan. https://www.openveterinaryjournal.com/?mno=233185 [Access: January 25, 2026]. doi:10.5455/OVJ.2025.v15.i7.27


AMA (American Medical Association) Style

Umair M, Zaheer MU, Tahir MF, Abdullah RM, Ali J, Abubakar M, Ullah RW, Akram M, Alam J, Talib U, Bahadur SUK, Ahsan Q, Mohsin M. Quantification and trends of antimicrobial use in commercial adult dairy and calves during summer and winter in Pakistan. Open Vet. J.. 2025; 15(7): 3156-3176. doi:10.5455/OVJ.2025.v15.i7.27



Vancouver/ICMJE Style

Umair M, Zaheer MU, Tahir MF, Abdullah RM, Ali J, Abubakar M, Ullah RW, Akram M, Alam J, Talib U, Bahadur SUK, Ahsan Q, Mohsin M. Quantification and trends of antimicrobial use in commercial adult dairy and calves during summer and winter in Pakistan. Open Vet. J.. (2025), [cited January 25, 2026]; 15(7): 3156-3176. doi:10.5455/OVJ.2025.v15.i7.27



Harvard Style

Umair, M., Zaheer, . M. U., Tahir, . M. F., Abdullah, . R. M., Ali, . J., Abubakar, . M., Ullah, . R. W., Akram, . M., Alam, . J., Talib, . U., Bahadur, . S. U. K., Ahsan, . Q. & Mohsin, . M. (2025) Quantification and trends of antimicrobial use in commercial adult dairy and calves during summer and winter in Pakistan. Open Vet. J., 15 (7), 3156-3176. doi:10.5455/OVJ.2025.v15.i7.27



Turabian Style

Umair, Muhammad, Muhammad Usman Zaheer, Muhammad Farooq Tahir, Rana Muhammad Abdullah, Jabir Ali, Muhammad Abubakar, Riasat Wasee Ullah, Muhammad Akram, Javaria Alam, Usman Talib, Sami Ullah Khan Bahadur, Qadeer Ahsan, and Mashkoor Mohsin. 2025. Quantification and trends of antimicrobial use in commercial adult dairy and calves during summer and winter in Pakistan. Open Veterinary Journal, 15 (7), 3156-3176. doi:10.5455/OVJ.2025.v15.i7.27



Chicago Style

Umair, Muhammad, Muhammad Usman Zaheer, Muhammad Farooq Tahir, Rana Muhammad Abdullah, Jabir Ali, Muhammad Abubakar, Riasat Wasee Ullah, Muhammad Akram, Javaria Alam, Usman Talib, Sami Ullah Khan Bahadur, Qadeer Ahsan, and Mashkoor Mohsin. "Quantification and trends of antimicrobial use in commercial adult dairy and calves during summer and winter in Pakistan." Open Veterinary Journal 15 (2025), 3156-3176. doi:10.5455/OVJ.2025.v15.i7.27



MLA (The Modern Language Association) Style

Umair, Muhammad, Muhammad Usman Zaheer, Muhammad Farooq Tahir, Rana Muhammad Abdullah, Jabir Ali, Muhammad Abubakar, Riasat Wasee Ullah, Muhammad Akram, Javaria Alam, Usman Talib, Sami Ullah Khan Bahadur, Qadeer Ahsan, and Mashkoor Mohsin. "Quantification and trends of antimicrobial use in commercial adult dairy and calves during summer and winter in Pakistan." Open Veterinary Journal 15.7 (2025), 3156-3176. Print. doi:10.5455/OVJ.2025.v15.i7.27



APA (American Psychological Association) Style

Umair, M., Zaheer, . M. U., Tahir, . M. F., Abdullah, . R. M., Ali, . J., Abubakar, . M., Ullah, . R. W., Akram, . M., Alam, . J., Talib, . U., Bahadur, . S. U. K., Ahsan, . Q. & Mohsin, . M. (2025) Quantification and trends of antimicrobial use in commercial adult dairy and calves during summer and winter in Pakistan. Open Veterinary Journal, 15 (7), 3156-3176. doi:10.5455/OVJ.2025.v15.i7.27